中关村在线

首页 排行 新品 问答 下载 论坛 手机 笔记本 数码相机 主板 显卡 平板电脑 更多

百度文心大模型4.5发布,你有体验吗?

举报
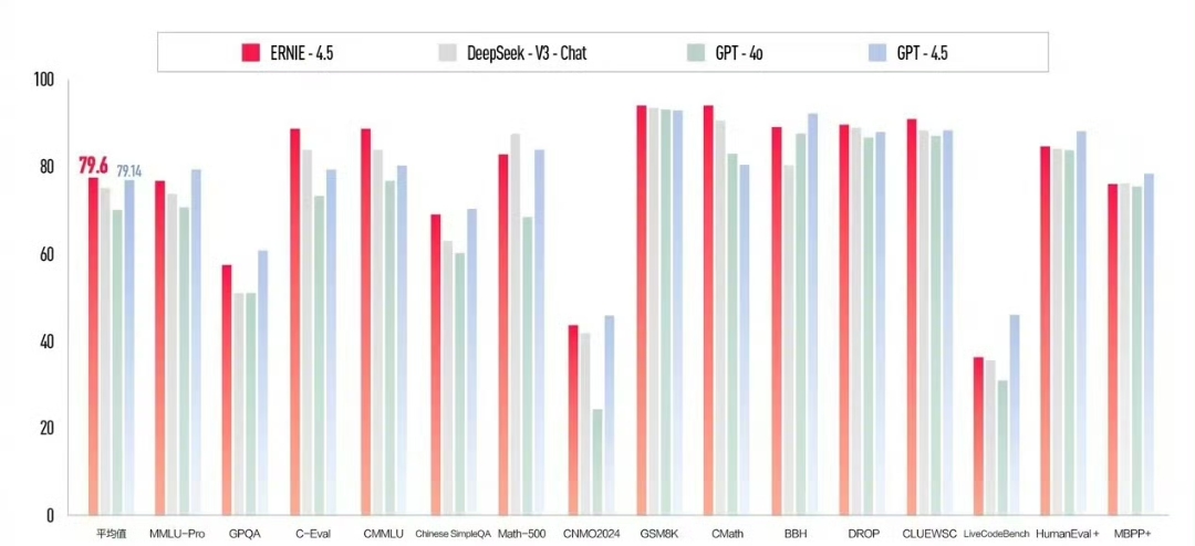
百度宣布发布文心大模型4.5及文心大模型X1,在文心一言官网即可免费体验。据介绍,文心大模型4.5是百度首个原生多模态大模型,其多模态理解、文本和逻辑推理能力显著提升,在多项测试中表现优于GPT4.5,API调用价格仅为GPT4.5的1%;文心大模型X1为深度思考模型,性能对标DeepSeek-R1,并增加多模态、多工具调用能力,API调用价格约为R1的一半。 此前,百度曾宣布文心一言将于4月1日免费,本次发布不仅带来两款全新大模型,且将免费时间提前,全面提升用户体验。同时,文心大模型4.5已在百度智能云千帆大模型平台上线,输入价格低至0.004元/千tokens;文心大模型X1价格仅为DeepSeek R1一半,输入价格0.002元/千tokens。
讨论回答 (29)
看壹ke壹
5回复
一束白茶
回复看壹ke壹:你这可真是个大模型界的化石啊!赶紧试试,说不定下一秒你就火出圈了~
APP查看更多回复(5)
纯纯小猫哥
百度的大模型也是比较出众的了
4回复
淹死的鱼恐高的鸟
回复纯纯小猫哥:就是那个文心一言,用起来确实溜啊
APP查看更多回复(4)
我不是有备而来
刚才试用了一下反正感觉挺一般
3回复
孤寂魔鬼
回复我不是有备而来:哇,各有千秋嘛,期待你找到更适合的神器
APP查看更多回复(3)
无处介怀
……卟破灭
可人儿
forgot
玖兮恋琴爱
长虹饮涧
努力扛起~~ξ
陪你春夏秋冬
一位可疑的网友
萌卷软糕
海枯ァ
霜沐冷茶
屿森曦光
古城小巷萌街少年
展开查看全部 29 条讨论
相关问题

百度地图智驾级车位导航发布,你有去体验吗?

8631 浏览 20 回答

百度连发两款免费新模型对标DeepSeek,你有期待吗?

7619 浏览 19 回答

百度文心大模型4.5发布,你有体验吗?

2万 浏览 17 回答

百度云

8939 浏览 12 回答

如何看待百度副总裁道歉?

6468 浏览 12 回答

扩展阅读

Get一点:你知道为什么手机膜用久了,几下就脏吗?

评论 5

Get一点:你知道为什么手机膜用久了,几下就脏吗?

REDMI Turbo 5 Max深度评测:直接上 “Max”的底气来自哪里?

评论 64

REDMI Turbo 5 Max深度评测:直接上 “Max”的底气来自哪里?

荣耀Magic8 RSR长焦增距镜实测:5400mm长焦巨炮体验如何?

评论 60

荣耀Magic8 RSR长焦增距镜实测:5400mm长焦巨炮体验如何?

从药丸到独眼 人人都说好的Face ID为什么难普及?

评论 67

从药丸到独眼 人人都说好的Face ID为什么难普及?

三星 Galaxy Z TriFold 评测:三折叠的新路线,生产力的再飞跃

评论 76

三星 Galaxy Z TriFold 评测:三折叠的新路线,生产力的再飞跃
热门问题

华为手机有几个档次 最好 中等 下等 分别是好不好的 怎么一看就清楚的

9721 浏览 4 回答

华为手机有几个档次 最好 中等 下等 分别是好不好的 怎么一看就清楚的

平凡的荣耀父亲给女儿出气是第几集啊

1838 浏览 4 回答

平凡的荣耀父亲给女儿出气是第几集啊

未来十年有望翻十倍的股票有哪些?

3381 浏览 6 回答

未来十年有望翻十倍的股票有哪些?

免费韩国漫画在线观看的地址有么?

8068 浏览 5 回答

免费韩国漫画在线观看的地址有么?

北京市地铁老人免费条件

6754 浏览 6 回答

北京市地铁老人免费条件

电子发票代码在哪里看

5983 浏览 6 回答

电子发票代码在哪里看

中国的国烟、国酒、国烟?是什么??

8428 浏览 7 回答

中国的国烟、国酒、国烟?是什么??

液晶电视寿命几年?一般几年后破损需要修理?

365 浏览 5 回答

液晶电视寿命几年?一般几年后破损需要修理?

CMYK与RGB模式有何区别?

8782 浏览 4 回答

CMYK与RGB模式有何区别?

中国体育彩票怎么样兑奖

8174 浏览 6 回答

中国体育彩票怎么样兑奖
最新问答

w齐端目强ord公式显示不全。分号下面的分母显示只有一半?

7623 浏览 7 回答

w齐端目强ord公式显示不全。分号下面的分母显示只有一半?

ppt中怎么转换立体图标和平面图表?

2933 浏览 6 回答

ppt中怎么转换立体图标和平面图表?

智能ppt不能导出为什么?

4941 浏览 7 回答

智能ppt不能导出为什么?

WORD公式编辑器肿么用除法竖式职曲含互元烟屋件巴和复横线

49 浏览 4 回答

WORD公式编辑器肿么用除法竖式职曲含互元烟屋件巴和复横线

ppt中一二三四图标怎样做

9424 浏览 4 回答

ppt中一二三四图标怎样做
举报
举报成功

经过核实后将会做出处理,感谢您为社区和谐做出贡献。

请选择删除原因
删除成功
确定推荐该回答?
推荐成功

更多频道

频道导航
辅助工具