中关村在线

首页 排行 新品 问答 下载 论坛 手机 笔记本 数码相机 主板 显卡 平板电脑 更多

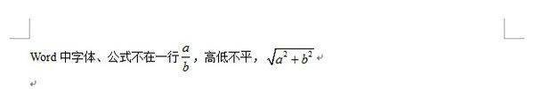
word公式不在同一行为什么?

举报
讨论回答 (7)
ignhacmvne
Asita19
dsqyogszbwyp
flks1
15985649132
54shichenyan
456456oo
展开查看全部 7 条讨论
相关问题

早期的Word究竟有多难用

6638 浏览 9 回答

Word文档里的内容,不小心全部删了,然后点了保存,文档内容怎么找回来

1066 浏览 5 回答

室友给我发个假word,现在我打开微信里面自己的wrod也会变成这种,这怎么解决啊

989 浏览 4 回答

WOL远程开机尝试失败,请教症结在哪

1260 浏览 4 回答

扩展阅读

尚界Z7&Z7T:把“选择权”真正还给年轻人

评论 5

尚界Z7&Z7T:把“选择权”真正还给年轻人

都是2亿像素傻傻的分不清 一文带你了解2亿像素手机镜头传感器

评论 5

都是2亿像素傻傻的分不清 一文带你了解2亿像素手机镜头传感器

REDMI Turbo 5 Max性能实测,天玑9500s表现到底如何

评论 7

REDMI Turbo 5 Max性能实测,天玑9500s表现到底如何

手机电池容量都翻倍了 笔记本电池为何没有

评论 5

手机电池容量都翻倍了 笔记本电池为何没有

都是为了不让你偷看 三星为什么要费大力气重新做块屏?

评论 4

都是为了不让你偷看 三星为什么要费大力气重新做块屏?
热门问题

人的大脑相当于什么样的CPU和GPU?

1238 浏览 5 回答

人的大脑相当于什么样的CPU和GPU?

梦幻西游 怎么把金币兑换成RMB 比率是多少?

1.1万 浏览 6 回答

梦幻西游 怎么把金币兑换成RMB 比率是多少?

长期住酒店真的比租房更划算吗?

4387 浏览 4 回答

长期住酒店真的比租房更划算吗?

电子发票代码在哪里看

5983 浏览 6 回答

电子发票代码在哪里看

中国的国烟、国酒、国烟?是什么??

8428 浏览 7 回答

中国的国烟、国酒、国烟?是什么??

苹果官方客户服务电话人工24小时售后

1.5万 浏览 6 回答

苹果官方客户服务电话人工24小时售后

有什么软件可以免费在线看加勒比海盗全集,我推荐你们一个有很多电影都在线免费看的软件,叫2345影视

2287 浏览 7 回答

有什么软件可以免费在线看加勒比海盗全集,我推荐你们一个有很多电影都在线免费看的软件,叫2345影视

《lofter》网页版登录入口

2264 浏览 6 回答

《lofter》网页版登录入口

手机怎样设置北斗导航 手机设置北斗导航方法

6917 浏览 8 回答

手机怎样设置北斗导航 手机设置北斗导航方法

我用YY进入许多YY上的影院想看电影 ,为什么进去就公告上是黑屏看不了?

8298 浏览 5 回答

我用YY进入许多YY上的影院想看电影 ,为什么进去就公告上是黑屏看不了?
最新问答

2007word文档怎么自动弹出下一个数字

7550 浏览 6 回答

2007word文档怎么自动弹出下一个数字

MathType中公式与文字错位怎么处理

1574 浏览 8 回答

MathType中公式与文字错位怎么处理

怎么在Word文档中插入文献编号呢?

5760 浏览 6 回答

怎么在Word文档中插入文献编号呢?

你的配置能玩黑神话吗?

4736 浏览 6 回答

你的配置能玩黑神话吗?

word中插入页码第一页显示为2怎么处理?

6295 浏览 5 回答

word中插入页码第一页显示为2怎么处理?
举报
举报成功

经过核实后将会做出处理,感谢您为社区和谐做出贡献。

请选择删除原因
删除成功
确定推荐该回答?
推荐成功

更多频道

频道导航
辅助工具