中关村在线

首页 排行 新品 问答 下载 论坛 手机 笔记本 数码相机 主板 显卡 平板电脑 更多

如何制止舍友用我校园网

举报
学校不允许安装路由器,寝室的网络依赖校园号套餐。我的手机号支持三个设备同时连接,原本我只用手机和电脑,所以之前有舍友说她的校园网因基站故障无法使用,我就让她连我的热点,相当于多带一个设备,影响不大。后来她未经我同意,把账号密码分享给了另一位舍友,理由是提交作业时网络不稳定。这学期我新添了iPad,使用频率较高,却发现她们经常提前回宿舍连上我的网络,导致我自己的设备被挤掉。毕竟连接数有限,设备一多就会互相顶替,已经影响到我正常使用。我想收回网络权限,又不想闹僵,毕竟大家住在一起,关系还算可以。但继续这样下去实在不太公平,毕竟网络资源有限,我也需要稳定使用。该怎么表达才能既说明情况,又不伤和气?希望有个合适的方式沟通,既能维护自己的权益,也能避免误会升级。
讨论回答 (4)
可乐57 
茂实雁菱 
秀克1 
特里小雪 
展开查看全部 4 条讨论
扩展阅读

REDMI K Pad2配置爆料汇总:这次有肩键?

评论 4

REDMI K Pad2配置爆料汇总:这次有肩键?

增距镜是噱头还是时代刚需?解析手机增距镜存在的必要性

评论 3

增距镜是噱头还是时代刚需?解析手机增距镜存在的必要性

苹果折叠屏iPhone Ultra曝光汇总,这4个问题你肯定想知道

评论 8

苹果折叠屏iPhone Ultra曝光汇总,这4个问题你肯定想知道

九款原生胶片一步到位 OPPO Find X9s Pro哈苏大师模式全新升级

评论 7

九款原生胶片一步到位 OPPO Find X9s Pro哈苏大师模式全新升级

巴掌大小的超小型迷你小钢炮!上手体验来酷AI MINI高性能迷你主机

评论 6

巴掌大小的超小型迷你小钢炮!上手体验来酷AI MINI高性能迷你主机
热门问题

你喜欢看电影还是电视剧呢

1.9万 浏览 51 回答

你喜欢看电影还是电视剧呢

你喜欢电影中哪个明星?

2.1万 浏览 48 回答

你喜欢电影中哪个明星?

我用YY进入许多YY上的影院想看电影 ,为什么进去就公告上是黑屏看不了?

8298 浏览 5 回答

我用YY进入许多YY上的影院想看电影 ,为什么进去就公告上是黑屏看不了?

AI芯片+8K 三星引领下一代电视革命

1.2万 浏览 487 回答

AI芯片+8K 三星引领下一代电视革命

美国、内地、欧洲、台湾、香港、日本、致呢象础预刑各修济韩国,那些电影第一好看!

7671 浏览 4 回答

美国、内地、欧洲、台湾、香港、日本、致呢象础预刑各修济韩国,那些电影第一好看!

iPhone15

1.3万 浏览 356 回答

iPhone15

中国的国烟、国酒、国烟?是什么??

8428 浏览 7 回答

中国的国烟、国酒、国烟?是什么??

黑白红三种颜色构成的马叫什么马?

3231 浏览 6 回答

黑白红三种颜色构成的马叫什么马?

苹果官方客户服务电话人工24小时售后

1.5万 浏览 6 回答

苹果官方客户服务电话人工24小时售后

美国和中国的时差是多少小时。例如现在是北京时间 21:00,那是美国时间几点钟?

5万 浏览 5 回答

美国和中国的时差是多少小时。例如现在是北京时间 21:00,那是美国时间几点钟?
最新问答

打字没显示?原因揭秘

1534 浏览 4 回答

打字没显示?原因揭秘

删除EXCEL请金甲业中选中单元格的快捷键是什么?

1195 浏览 6 回答

删除EXCEL请金甲业中选中单元格的快捷键是什么?

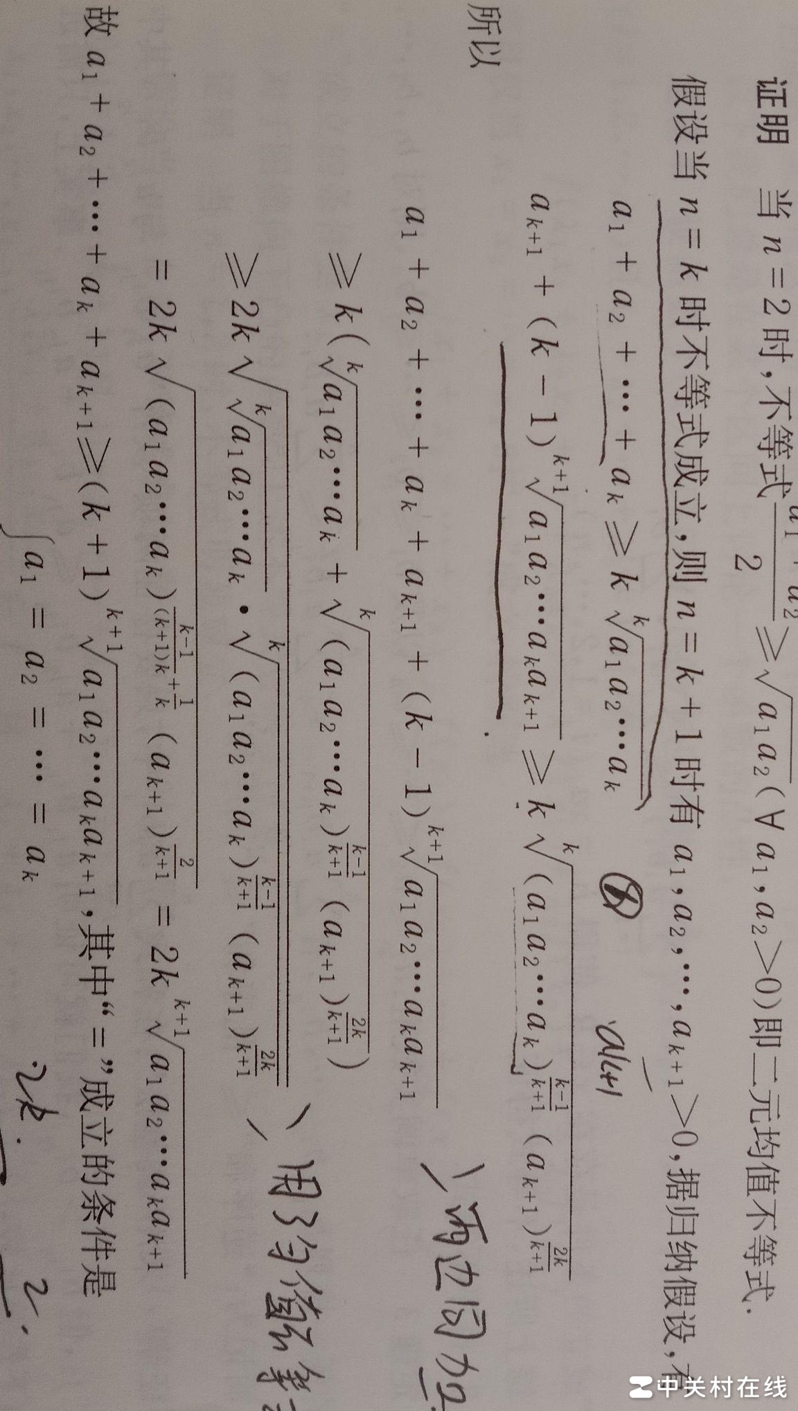
第二步推导详解

4800 浏览 4 回答

第二步推导详解

第二步推导详解

4800 浏览 4 回答

第二步推导详解

李光耀谈中国胜利影响西欧对华人态度

2427 浏览 7 回答

李光耀谈中国胜利影响西欧对华人态度
举报
举报成功

经过核实后将会做出处理,感谢您为社区和谐做出贡献。

请选择删除原因
删除成功
确定推荐该回答?
推荐成功

更多频道

频道导航
辅助工具